Location:Home >> Detail
TOTAL VIEWS
Med One. 2017; 1: e170004. https://doi.org/10.20900/mo.20170004
1 Department of Oncology, the Second Xiangya Hospital of Central South University, Changsha, Hunan 410011, P.R. China
* Correspondence: Chunhong Hu.
Objective: To analyze the clinical efficacy and toxic & adverse effects of radiotherapy combined with concurrent chemoradiotheray on locally advanced cervical cancer patients, and analyze the prognostic factors.
Methods: The clinical data of 125 patients with locally advanced cervical cancer who underwent radiotherapy and concurrent chemoradiotherapy between September 2008 and December 2013 were retrospectively analyzed in the Second Xiangya Hospital of Central South University. Kaplan-Meier method was used to calculate the survival rate. In univariate analysis, log-rank test was used to calculate the intergroup difference, and in multivariate analysis, Cox proportional risk model was used to screen the independent prognostic factors influencing the overall survival rate.
Results: As of March 1, 2016, the overall survival rates of the patients were 89.6 %, 74.4 % and 71.2 % in years 1, 3 and 5, respectively. The results of univariate analysis showed that the survival rates of stage-II, stage-III and stage-IVa patients for PIGO staging were 92.6 %, 79.4 %, and 77.9 %; 88.7 %, 66.0 %, and 64.2 %; and 50.0 %, 25.0 %, and 0.0 % in years 1, 3 and 5, respectively. The overall survival rates of the patients in concurrent chemoradiotherapy group and radiotherapy group were 91.8 %, 78.6 %, and 77.6 %; 81.5 %, 61.2 %, and 58.5 % in years 1, 3 and 5, respectively. The overall survival rates of the patients with pre-treatment hemoglobin Hb level < 110 g/L and Hb ≥ 110g/L were 78.4 %, 59.8 %, and 58.2 %; 92.9 %, 79.8 %, and 78.9 % in years 1, 3 and 5, respectively. The overall survival rates of the patients with total radiotherapy duration ≤ 9 cycles and > 9 cycles were 91.2 %, 81.7 %, and 80.0 %; 87.8 %, 64.6 %, and 59.8 % in years 1, 3 and 5, respectively. These differences were statistically significant. Multivariate analyses showed that the clinical staging, concurrent chemoradiotherapy, pretreatment hemoglobin Hb level, and radiotherapy duration were the independent prognostic factors significantly affecting the survival rate of patients with locally advanced cervical cancer.
Conclusion: 1. the concurrent chemoradiotherapy of locally advanced cervical cancer patients showed more obvious advantages over the simple radiotherapy, and the acute toxicity was tolerable and the long-term toxicity was not significantly increased; 2. FIGO staging, anemia and radiotherapy completion time were the important prognostic factors affecting the treatment of patients with locally advanced cervical cancer.
Cervical cancer is a common malignant tumor in female genital tract, and its incidence or morbidity accounts for more than half of malignant tumors in female genital tract, which severely threatens the health and life of the women. In China, about 3-5 million women died of cervical cancer each year [1]. The incomplete popularity of anti-cancer screening caused a higher incidence of cervical cancer in rural area than in cities, and this part of patients had often developed into the locally advanced cervical cancer (stage-IIb – stage-IVa) in their initial treatment [2]. This shows that cervical cancer is still a major public health problem. Since the National Cancer Institute of the United States (NCI) developed a cisplatin-based concurrent chemoradiotherapy as the treatment solution of the locally advanced cervical cancer in 1999, the treatment efficacy of cervical cancer has been gradually improved, and the concurrent chemoradiotherapy has nowadays become the main treatment method for advanced cervical cancer in China. Despite a huge success, more than half of stage-III and stage-IV patients of cervical cancer in the clinical practice cannot survive for five years in spite of the best treatment. In this paper, the clinical data of 125 patients with locally advanced cervical cancer underwent radiotherapy and concurrent chemoradiotherapy treated in our department were retrospectively analyzed, the clinical efficacy and survival & prognosis of the patients treated with radiotherapy and concurrent chemoradiotherapy were summarized, and meanwhile, the prognostic factors under the mode of concurrent chemoradiotherapy were discussed.
1.1 Basic Information of PatientsInclusion criteria: 1) patients for initial treatment; 2) patients with cervical squamous cell carcinoma, adenocarcinoma or adenosquamous carcinoma through pathological diagnosis of cervical living tissue biopsy; 3) patients determined by two clinical gynecologists as FIGO staging, including stage-IIa, but not suitable for surgery; 4) complete clinical and pathological data. Exclusion criteria: 1) patients concurrently with a history of other tumor diseases; 2) patients associated with other rare pathological types of cervical cancers, like clear cell carcinoma; 3) patients with a history of pelvic radiotherapy or systemic chemotherapy.
The enrolled cases were 125 patients with locally advanced cervical cancer in the tumor center of the Second Xiangya Hospital of Central South University between September 2008 and December 2013 who admitted to pathological diagnosis and chemoradiotherapy. Their clinical and pathological data are detailed in Table 1.
1.2 Radiotherapy Solution6MV-X ray hexagonal large field radiotherapy (30GY/2gy/15F) and then pelvis front-back four-field wear irradiation (middle 4×15cm lead block) to 50GY/2GY/25F; IIIB was appropriately added to 56GY/2GY/28F; for the patients with abdominal aortic lymph node metastasis, abdomen para-aortic field radiotherapy was increased, with the dosage of 40-50Gy.
Iridium 192 source γ rays with intracavitary brachtherapy dosage reference point: point A. Dosage: 600c Gy/time. Cumulative dosage of conventional therapy plus intracavitary brachtherapy was about 4200c Gy/7 times. Intracavitary brachtherapy was operated after the end of the first-stage in vitro radiotherapy, with the frequrency of one time per week. The in vitro radiotherapy and intracavitary brachtherapy were performed alternately.
1.3 Concurrent ChemotherapyThe solution of platinum-based two drugs was used for the synchronous chemotherapy: Docetaxel 75 mg/m2d1 or paclitaxel 135 mg/m2d1 for intravenous infusion; nedaplatin 40 mg/ m2d1-3, carboplatin d1, and AUC value of 5 for intravenous infusion; the interval of conventional chemotherapy was 21 days per cycle, and lasted for 4-6 cycles.
1.4 Follow-up VisitAll patients were advised to persist in the outpatient reviews or the subsequent visits, and receive the regular follow-up visits after they discharged. The overall survival time of a patient refers to the number of interval months from the date of admission in the hospital to the last follow-up date or the death date of the patient.
1.5 Statistical MethodsIn this study, SPSS17.0 statistical software package was used for the data statistics. Univariate and multivariate analysis methods were used to analyze the prognosis of cervical cancer and factors. Survival rate was calculated using Kaplan-Meier method. In the univariate analysis, log-rank test was used to calculate the intergroup differences, and in the multivariate analysis, Cox proportional risk model was used to screen the independent prognostic factors affecting the overall survival rate.
Large scale T1DM-gene and OP-gene ResNet relation data were first studied to identify shared genes and genetic pathways. Then, these OP/TIDM related genes were further investigated using an OP expression data to discover potential novel genes for OP. After that, functional network analysis were employed to study the potential pathogenic significance of these candidate genes to OP.
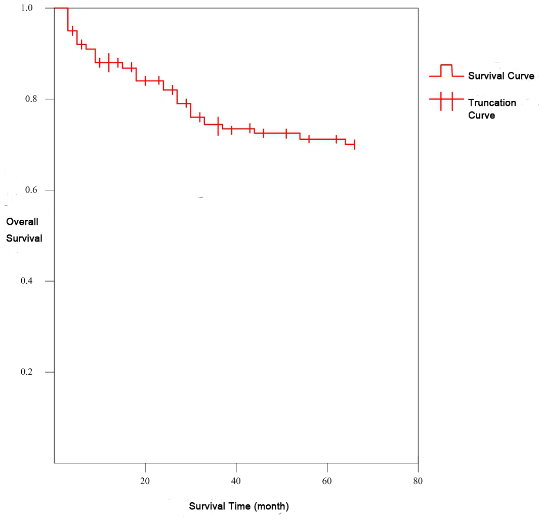
2.1 T1DM-Gene and OP-Gene data acquisitionThe follow-up visits were ended by March 1, 2016, and 125 patients in all were included and persisted in the follow-up visits. By the date of the last follow-up visit, the follow-up visits were not completed for four patients, and the median follow-up time was 39.6 months. The follow-up visit was ended by March 1, 2016. 89 of 125 patients with cervical cancer survived (71.2 %), and 36 died (28.8 %). The overall survival (OS) of the whole group was 89.6 %, 74.4 %, and 71.2 % in years 1, 3 and 5, respectively (see Fig. 1 Overall Survival (%) of the Whole Group in Five Years )
2.2 Occurrence of Toxic and Adverse Effect (or Toxicity) 2.2.1 Acute toxicity was evaluated as per the classification criteria of RTOG acute radiation injury.The occurrence condition of the acute toxicity of the patients in this group is shown in Table 2.
2.2.2 Late toxicity was evaluated as per the classification program of RTOG/EORTC late radiation injury.The occurrence condition of the late toxicity of the patients in this group is shown in Table 3.
2.3 Analysis of Prognostic Factors 2.3.1 Univariate AnalysisThe univariate analysis of related factors affecting the survival rate of patients with locally advanced cervical cancers in years 1, 3 and 5 was performed using the log-rank test. The main analysis parameters include FIGO clinical staging, patient age, pathological type, tumor size, tissue differentiation, pre-treatment hemoglobin level, total radiotherapy duration, intracavitary brachytherapy source intensity and different treatment ways (radiotherapy and concurrent chemoradiotherapy). The analysis results showed that the difference of effects of age, pathological type, tumor size, differentiation and brachytherapy source intensity on the curative efficacy and prognosis was not statistically significant (log-rank, p > 0.05).
2.3.1.1 Effect of FIGO staging on treatment efficacy and prognosisThe survival condition of patients in stage-II (N = 68) group, stage-III (N = 53) group and stage-IVa (N = 4) group was compared according to the results of FIGO staging. The comparison results showed that the difference was statistically significant (log-rank, P = 0.006, see Fig. 2 Overall Survival of Cervical Cancer Patients in Different FIGO Staging (%) )
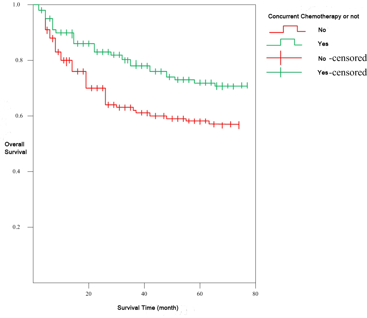
2.3.1.2 Effect of Concurrent Chemoradiotherapy on Curative Efficacy and PrognosisComparison of survival between concurrent chemoradiotherapy and radiotherapy: the concurrent chemoradiotherapy group (N = 98) had a significant survival advantage over the radiotherapy group (N = 27), and the difference was statistically significant (Log-rank, p = 0.012, see Fig. 3 Overall Survival Rate of Cervical Cancer Patients with Concurrent Chemoradiotherapy (%) ).
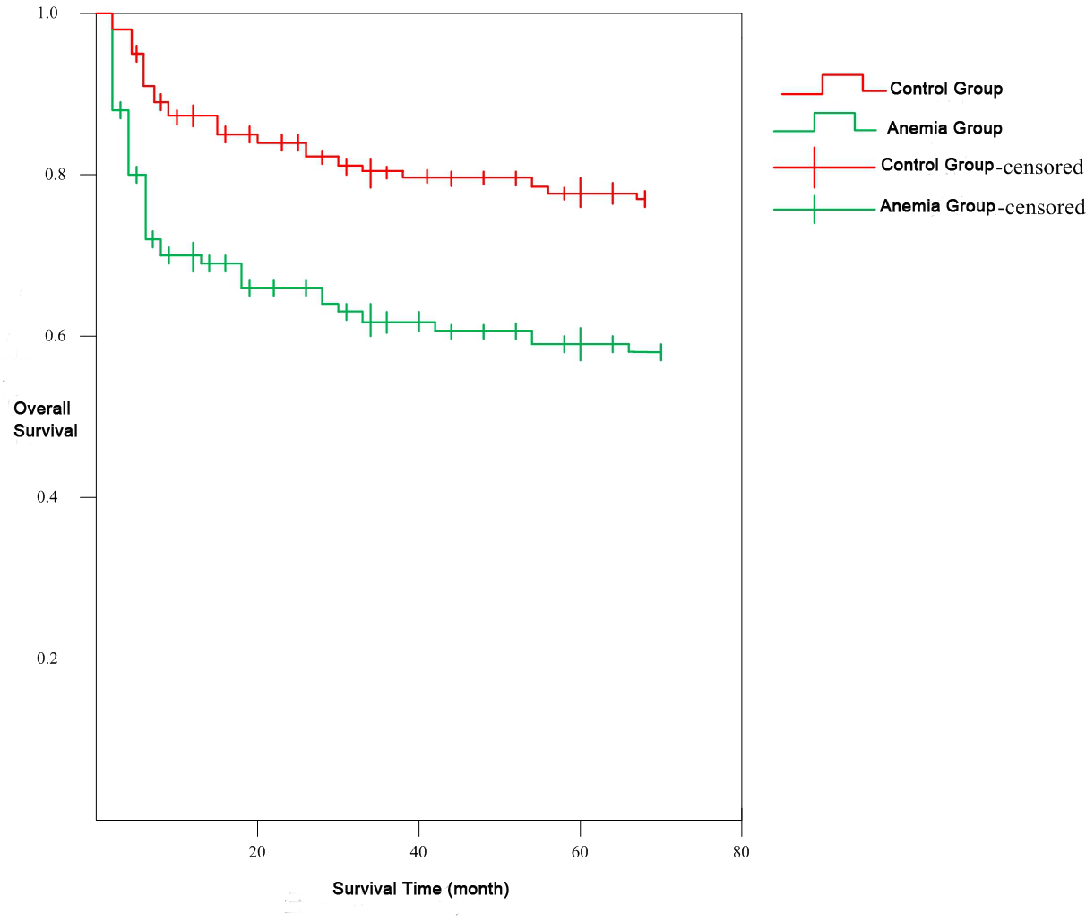
Cervical cancer anemia determination criteria were defined as Hb < 110g/L. There were 54 cases of patients with anemia before the treatment, accounting for 43.2 %. Compared the control group (N = 71), the survival condition of the control group was superior over the anemia group (N = 54), and the difference was statistically significant (Log-rank, p = 0.011, see Fig. 4 Overall Survival of Anemia Group and Control Group (%) ).
2.3.1.4 Effect of Total Radiotherapy Duration on Curative Efficacy and PrognosisCompared with the group with a total radiotherapy duration > 9 cycles (N = 90), the group with a total radiotherapy duration ≤ 9 cycles (N = 35) had a significant advantage of survival, and the difference was statistically significant (log-rank, p = 0.013, see Fig. 5 Overall Survival of Patients for Different Total Radiotherapy Durations (%) ).
2.3.2 Multivariate Analysis of PrognosisCox proportional risk model was used to screen the independent prognostic factors affecting the overall survival rate. The results showed that FIGO staging, hemoglobin, treatment way and radiotherapy duration were all the independent prognostic factors affecting the locally advanced cervical cancer, especially the hemoglobin and treatment way that had a greater impact on prognosis. (See Table 4).
FIGO [3] reported that the survival rates of 10525 cases and 15081 cases of cervical cancer patients treated by it in 1996-1998 and 1999-2001 were 69.9 % and 69.6 %, respectively. Wang Jing, et al. [4] reported that survival rates of 4375 cervical cancer patients in years 1, 3 and 5 were 95 %, 85 % and 77 %, respectively, after the analysis of prognosis and influencing factors, and the median survival time was 175.3 months. In this study, the overall survival rates of locally advanced cervical cancer patients in years 1, 3 and 5 were 89.6 %, 74.4 %, and 71.2 %, respectively, which are similar to those reported at home and abroad.
3.2 Related Toxicity (or Toxic and Side Effect)Keys, et al. [5] reported that there was an incidence of at least stage-III toxicity in 35 % patients weekly operated for synchronous cisplatin chemoradiotherapy, and most of them were hematological toxicities; GOG-120 [6] also reported the similar proportion of acute complications caused by the weekly operated cisplatin chemoradiotherapy. However, there was few detailed analysis and report about the late complications caused by the concurrent chemoradiotherapy. Eifel and his colleagues [7] reported the similar late toxicities after 6.6 years’ median follow-up visit after the concurrent chemoradiotherapy and extended field radiotherapy, which were 13 % and 12 %, respectively. Pearcey and his colleagues [8] reported the similar incidence of late toxicities in the patients weekly operated for cisplatin concurrent chemoradiotherapy. In this study, the incidences of gastrointestinal reactions, myelosuppression, rectal reactions, and genitourinary tract reaction in the acute toxicity were 39.2 %, 43.2 %, 31.2 %, and 8.8 %, respectively. Among them, the incidences of gastrointestinal reaction and myelosuppression were 14.8 % (4/27) and 22.2 % (6/27), respectively, in radiotherapy group and they were 45.9 % (45/98) and 48.9 % (48/98), respectively, in concurrent chemoradiotherapy. The difference was statistically significant (p < 0.05). The toxicities were mostly occurred in Level 1 and Level 2. The incidences of rectal reactions in the two groups were 25.9 % (7/27) and 32.7 % (32/98), respectively, and the most symptoms were increased stool frequency, or acute enteritis accompanied with diarrhea. These symptoms were relieved or mitigated after the symptomatic treatment, and the difference for comparison between the two groups was not statistically significant (p > 0.05). The incidences of the genitourinary tract reaction in the two groups were also similar, namely, 7.4 % (2/27) and 9.1 % (9/98), respectively, which were all occurred in level 1 and level 2, and the difference not statistically significant (p > 0.05).
There were 6 cases of radiation enteritis (4.8 %, 6/125), 3 cases of radiation cystitis (2.4 %, 3/125) and 1 case of lower-limb venous thrombosis resulted from pelvic fibrosis (0.8 %) in late toxicity, including 1 case of radiation enteritis (3.7 %, 1/27) and 1 case of cystitis (3.7 %, 1/27) in radiotherapy group, and 5 cases of radiation enteritis (5.1 %, 5/98) and 3 cases of cystitis (3.1 %, 3/98) in concurrent chemoradiotherapy group, and there was no statistical significance in the comparison of two groups (p > 0.05). To sum up, the treatment of acute and late toxicities is also one of the main challenges in the treatment of cervical cancer, and its long-term effects shall be further determined via long-term and large-sample studies [9]. This is also an important issue.
3.3 Effect of Related Factors on Survival PrognosisMost clinical researchers believe that the FIGO staging has a very important effect on the prognosis of the patients with locally advanced cervical cancer and it is an independent prognostic factor. Federation International of Gynecology and Obstetrics (FIGO) [10] reported that the five-year incidences of patients with cervical cancer were 94 % in stage I, 70 % in stage II, 62 % in stage III, and 17 % in stage IV, respectively. In this study, it was observed that the survival rates of patients with cervical cancer in years 1, 3 and 5 were 92.6 %, 79.4 % and 77.9 % in stage II; 88.7 %, 66.0 % and 64.2 % in stage III and 50.0 %, 25.0 % and 0.0 % in stage IVa. The results showed that the survival rates decreased with the increase of stages; the deviation observed between stage IV and other stages might be associated with the fewer observed cases (only 4 cases). Univariate analysis confirmed that FIGO staging was the important prognostic factor. The multivariate analysis of Cox model also showed that FIGO staging was the independent prognostic factor.
Meta-analysis of concurrent chemoradiotherapy operated in patients with locally advanced cervical cancer showed [11] that the concurrent chemoradiotherapy could improve 6 % of 5-year survival rate and the death risk also reduced by 19 % or so. RTOG-9001 clinical trial [12] was performed to compare the survival condition of radiotherapy group and concurrent chemoradiotherapy group combined with cisplatin + 5-FU, and the results showed that the 5-year survival rate of patients in radiotherapy group was 58 % and it increased by 15 % (73 % VS 58 %) in concurrent chemoradiotherapy group compared with the radiotherapy group. In this study, the overall survival rates of patients in concurrent chemoradiotherapy group and radiotherapy group in years 1, 3 and 5 were 91.8 %, 78.6 % and 77.6 %; 81.5 %, 61.2 % and 58.5 %, respectively, which showed that the concurrent chemoradiotherapy could significantly improve the survival condition of patients with locally advanced cervical cancer. Multivariate analysis also showed that the concurrent chemoradiotherapy was an independent prognostic factor of cervical cancer. However, there is still no uniform standard for the way of concurrent chemoradiotherapy. The chemotherapy program, administration mode, drug dosage and the combination of different radiotherapy and chemotherapy modes shall be further studied and confirmed.
Cancer Hospital of Chinese Academy of Medical Sciences [13] researched the effect of pre-treatment Hb concentration on the survival rate of patients with stage-II and stage-III cervical cancer, and found that the 5-year survival rate of patients with a pre-treatment Hb concentration of over 120 g/L was significantly better than those with a pre-treatment Hb concentration below 80 g/L, and the overall survival rate exceeded 30 % or so. Grogen [14] retrospectively analyzed the data of 605 cervical cancer patients in seven centers in Canada who underwent the radical radiotherapy, and found that tumor local control rate, disease-free survival rate and overall survival rate were significantly correlated with the minimum Hb level during the radiotherapy period. In univariate analysis of this study, the survival rates of patients with pre-treatment hemoglobin Hb < 110 g/L and Hb ≥ 110 g/L in years 1, 3 and 5 were 78.4 %, 59.8 % and 58.2 %; 92.9 %, 79.8 % and 78.9 %, respectively, showing that the survival rate of patients in Hb control group was significantly better than that in low Hb group, and this confirmed that the pre-treatment hemoglobin level had an important impact on the prognosis of cervical cancer. In the patients operated for concurrent chemoradiotherapy, the overall survival rates of patients in anemia group in years 1, 3 and 5 decreased by 6.2 %, 17.4 % and 18.2 %, respectively, compared with the control group. In the patients operated for radiotherapy, the overall survival rates of patients in anemia group in years 1, 3 and 5 decreased by 8.2 %, 26.5 % and 20.6 %, respectively, compared with the control group. Multivariate analysis of Cox model also showed that the pre-treatment hemoglobin level was the independent prognostic factor of cervical cancer. The anemia patients shall be actively corrected to improve the radioactive resistance of tumor cells, which is an important measure to improve the long-term survival of the patients.
The concurrent chemoradiotherapy is currently the standard treatment method of cervical cancer, so it is very difficult to find the cases of simple radiotherapy and concurrent chemoradiotherapy for one-to-one comparison; the number of cases is not adequate and the observation time is not long enough. The inadequacy of this study is that the cases of intensity-modulated radiotherapy were not included in the analysis.
In summary, the concurrent chemoradiotherapy of locally advanced cervical cancer showed a more significant advantage than the simple radiotherapy, the acute toxicity could be tolerated and long-term toxicity was not significantly increased. FIGO staging, anemia and radiotherapy duration are the important prognostic factors affecting the treatment of patients with locally advanced cervical cancer. We expect that the studies in the future will be more convincing.
1.
2.
3.
4.
5.
6.
7.
8.
9.
10.
11.
12.
13.
14.
Xiong H, Liu P, Zou W, Hu C. Clinical Efficacy and Prognostic Factors in Locally Advanced Cervical Cancer Patients Treated With Concurrent Chemoradiotherapy. Med One. 2017 Feb 25; 1: e170004. https://doi.org/10.20900/mo.20170004

Copyright © 2020 Hapres Co., Ltd. Privacy Policy | Terms and Conditions