Sign in Register Submit Manuscript

Hapres Home

Location: Home >> Detail

Med One. 2019;4:e190023. https://doi.org/10.20900/mo.20190023

Article

Cancer Simulation from Stage Minus One by Quantum microRNA Language: Lung, Colorectal and Pancreatic Cancers

Yoichi Robertus Fujii

Kawada-Cho, 106-6, Astuta-Ku, Nagoya, 456-0065, Japan; Tel.: +81-52-682-7003; Fax: +81-52-682-7003

Received: 30 July 2019; Accepted: 21 November 2019; Published: 25 November 2019

This article belongs to the Virtual Special Issue "Non-coding RNAs in Medicine"

ABSTRACT

Background: The second, third, and fourth cases of lethal cause upon cancer are lung cancer, colorectal cancer, and pancreatic cancer, respectively. This trend is not limited to some countries, but is a global problem. To further decrease cancer-related death, early prediction, diagnosis and prognosis of cancer by noninvasive liquid biopsy is an urgent issue for us. It is related with saving lives at a low medical cost and cutting-edged ideas of a neo-medical tool for risk hedge. One of the biomarkers is circulating microRNA (miRNA). miRNA can control gene expression of protein and it is a common factor of tumorigenesis and tumor suppression. Although it has recently been cleared that miRNA panel as a biomarker could be measured and evaluated as an indicator of human diseases, it is remained unclear whether the miRNA biomarker could be evaluated as biological and pathogenic processes, or pharmacologic responses to a therapeutic intervention or not.

Methods: To elucidate the implication between miRNA biomarkers and pathogenic processes, time-dependent processes of tumorigenesis in pancreatic, colorectal and lung cancers were investigated through network analysis from minus one stage (or stage zero) of cancer to various cancer stages by algorithm of miRNA entangling target sorting (METS) in silico simulation using quantum miRNA language.

Results: We found three different miRNA memory package (MMP) hubs for pathogenic processes among three cancer cases.

Conclusions: These computer simulation data suggested that quantum miRNA language would be essential for clinical miRNA biomarker panel to understand its biological, pathological and pharmaceutical characters in cancer.

KEYWORDS: biomarker; microRNA; colorectal cancer; lung cancer; pancreatic cancer; network; healthcare; quantum language; circRNA; lncRNA

INTRODUCTION

In USA, breast cancer (30%) in female and prostate cancer in male (19%) were estimated as the top new cases in 2017. The second and third new cases were lung cancer (12% in female and 14% in male) and colorectal cancer, respectively [1]. Pancreatic cancers were implicated in fourth estimated death (7% in both sexes) of female and male. In Japan in 2017, male lung cancer and female colorectal cancer were mentioned as the first cause of cancer-related death. Pancreatic cancer has increased in both male and female (https://ganjoho.jp/reg_stat/summary.html). These cancers have high mortality rates even when tumor cell growth is slow in general. The reason is the lack of precise and noninvasive diagnostic biomarkers before late stages of cancer. For example, pancreatic cancer is the most lethal one because most patients are diagnosed on the high stage of cancer with metastasis; however, there are some prediction tools for early detection [2]. By statistical data, the 5-year survival rate of pancreatic cancer was very low in the GLOBOCAN series (http://globocan.iarc.fr) of the International Agency for Research on Cancer in 2012 [3]. Although CA19-9 has been used as a biomarker of pancreatic cancer, combinations with markers of other cancer, such as CA19-9 plus CEA, CA125, CA242, or K-Ras mutation have increased sensitivity, specificity or accuracy of diagnostic screening [2,4]. It means that there would be no tumor-specific protein biomarkers, no one on one fit for quite early diagnosis. While we intend to complete precision medicine, we should challenge cancer diagnosis on minus one stage under less invasive protocols, such as a liquid biopsy. Furthermore, we should prepare treatment of regimen on the minus one stage or stage zero of cancers.

Many reports have indicated that microRNAs (miRNAs) could become promising biomarkers for quite early prediction and diagnosis of pancreatic cancer through liquid biopsy [5]. The meta-analysis from many studies showed that multiple miRNAs diagnosis has a higher sensitivity and specificity in pancreatic cancer compared with single miRNA diagnosis [6,7], as we have previously predicted in the microRNA memory package (MMP) [8,9]. Then, another meta-analysis evaluated using plasma- or serum-based miRNAs as biomarkers to diagnose pancreatic cancer [10]. They selected 27 studies from 468 papers in electric databases. It was also found that two miRNAs, miR-17-5p and miR-21 from serum exosome can distinguish pancreatic cancer from non-pancreatic cancer cases with high sensitivity of 0.73 and 0.93, and specificity of 0.96 and 0.82, respectively [11]. However, in plasma, Ganepola et al. [12] have showed that a panel of three miRNAs (miR-642b-3p, miR-22-3p and miR-885-5p) has higher sensitivity (0.91) and specificity (0.91) for diagnosis of early pancreatic cancer. But false-positive percentage was lowered in four miRNAs’ panel (miR-1246, miR-4644, miR-3976 and miR-4306) upon exosome because the panel of miRNAs in exosome was not in healthy donors’ serum exosome at all [13]. Besides exosome, to predict progression of cancer from pre-cancer state, intraductal papillary mucinous neoplasm (IPMN) is important for early diagnosis. IPMN was pre-pancreatic cancer lesion and may develop into pancreatic cancer [14]. Three miRNAs (miR-191, miR-21 and miR-451a) in serum exosome can serve as early diagnostic and progression markers of IPMN and pancreatic cancer [15]. Furthermore, by machine learning diagnosis using two miRNA panels in plasma, pancreatic cancer could have been distinguished from chronic pancreatitis [16].

These data suggest that quantum MMP could have potential for early detection of cancer on minus one stage diagnosis. For the liquid biopsy technique, data mining and simulation would be required in silico as time advances, therefore, we have continued to elucidate the relation between the quantum miRNA language and the pathophysiology of human diseases. We have previously documented human breast cancer drug resistance simulation in three oncogenic subtypes by miRNA entangling target sorting (METS), in this paper, networks of pancreatic cancer, colorectal cancer and lung cancer were simulated from minus one stage or stage zero to tumor progressing stages, and their etiologies were discussed.

METHODS

Data Base Usage, Data Mining, Simulation and Statistics Tools

The physicochemical interaction has been simulated between miRNAs and human cancer diagnostic processes by dynamic computer simulation with METS algorithm using the quantum miRNA language [17]. For data mining, biomarker miRNAs were selected by following criteria: (1) data from serum or plasma, (2) statistically significant in meta-analysis, (3) showed in two or more references, (4) clear expression levels of up- and down-regulation, (5) as many between two stages in a cancer (See Table 1). Data of the multi-targets of the microRNA memory package (MMP) were extracted from miRTarBase Ver. 7.0 (http://mirtarbase.mbc.nctu.edu.tw/php/index.php) and TargetScan 7.2 (http://www.targetscan.org/vert_72/). In TargetScan analysis, negative correlations were observed between Context Score (CS) of miRNA/target and Double Nexus Score (DNS) as quantum energy levels of two miRNAs in all studies as described previously [8,17]. For example, a correlation (R) between CS and DNS was −0.7613 (p < 0.01), R2 = 0.5795 in pancreatic cancer study. Target protein/protein interaction and cluster were searched by String Ver. 11.0 (https://string-db.org/cgi/input.pl). The gene function of protein was detected by GeneCards (https://www.genecards.org) and GO enrichment analysis powered by PANTHER in Geneontology (http://geneontology.org). To review the validated data for miRNAs, long noncoding RNAs (lncRNAs), circular RNAs (circRNAs) and cancers, PubMed (https://www.ncbi.nlm.nih.gov/pubmed/) and Google Scholar (https://scholar.google.co.jp) were used. Total information content was 944, 3076 and 6073 in pancreatic, colorectal and lung cancer, respectively. The retrieved data was narrowed down for the usage of data mining as the open accessing sub-data of 75, 208 and 314 in pancreatic, colorectal and lung cancer, respectively.

TABLE 1
Table 1. miRNA biomarkers related with the three tumors.

The calculation of statistical significance for cancer in the METS simulation was performed by the area under the curve (AUC) in receiver operating characteristic (ROC) or the χ2-based Cochran’s Q-test using BellCurve for Excel (Social Survey Research Information Co. Ltd., Tokyo, Japan). When searching lncRNA, LncCeRBase Database (http://insect-genome.com/LncCeRBase/front/) was used. Accuracy and precision to develop cancer from stage minus one (or zero) were computed by machine learning using Prediction One (Sony Network Communications Inc., Tokyo, Japan).

RESULTS AND DISCUSSION

Simulation of Pancreatic Cancer Primary extraction of miRNA set and MMP in pancreatic cancer

Duell et al. [18] have reported that a panel of miRNA biomarkers in pre-diagnostic plasma showed statistically significant association with subsequent risk of pancreatic ductal adenocarcinoma (PDAC) in less than 5 years. Therefore, data mining based on this report was performed for METS computation by quantum miRNA language. Eight miRNAs (miR-21-5p, miR-10b-5p, miR-106b-5p, miR-212-5p, miR-30c-5p, miR-10a-5p, miR-21-3p and miR-155) were selected as minus one stage biomarker at first (Table 1). As post-minus one stage PDAC biomarker (stage I–II: 9.2%; stage III–IV: 75%), eight miRNAs (miR-21-5p, miR-17-5p, miR-155-5p, miR-196a-5p, miR-1246, miR-744-5p, miR-409-3p and miR-128-3p) in plasma exosome were used for analysis (Table 1) [11,13].

The common miRNAs in both stages were miR-21-5p and miR-155-5p, therefore, most of the target protein gene for them were overlapped between these two miRNAs on both stages. For METS analysis, miR-106b-5p was a miRNA of miR-17/93 family, and miR-106b-5p and miR-744-5p have less target data in databases with strong evidences of protein/protein connection. Targets of miR-10b-5p was not distinguished from those of miR-10a-5p. The MMP by eight miRNA each clearly showed difference between minus-one stage and PDAC stages of pancreatic cancer (Figure 1).

FIGURE 1
Figure 1. MMPs related with human pancreatic, colorectal and lung cancers. Three MMPs of minus one (or stage zero) stage and three MMPs of cancer stage were computed in human pancreatic, colorectal and lung cancers, and represented as radar chart. The core of the quantum code region (QCR) is shown as dotted line.

The quantum code region (QCR) in minus one stage was restricted from the energy level of 0 to 60 by DNS frequency numbers and QCR in post-minus one stage was 0 to 80 (Figure 2). To contextually elucidate difference of MMP in pancreatic cancer and quantum energy distribution of QCR between minus one and PDAC stage, etiologic causes in pancreatic cancer were dynamically computed by METS with quantum miRNA language [19]. After three layers (QCR: 0–20, 21–40 and 41–60) were learned by METS, the data on each layer were integrated into the network processing.

FIGURE 2
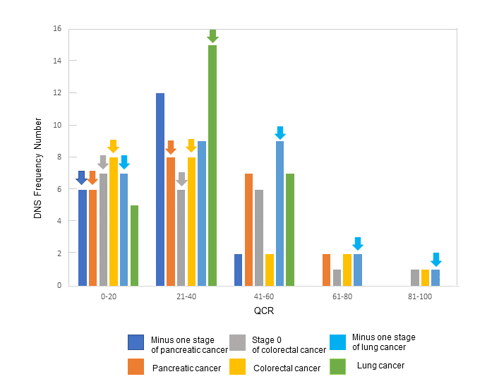
Figure 2. Alteration of DNS frequencies of human pancreatic, colorectal and lung cancers. The quantum energy level (DNS frequency) of five layers (QCR; 0–20, 21–40, 41–60, 61–80 and 81–100) was visualized in human pancreatic, colorectal and lung cancers on stages of minus one (or zero) and cancer. Arrows, the core QCR.
Minus one stage simulation of pancreatic cancer

Although a miRNA set of the minus one stage in the core stage was reduced from a panel of 7 miRNAs to MMP hub of 3 miRNAs, a main scheme of protein/protein interaction did not alter between all layers and the core (Figure 3A,B).

On minus one stage, two core miRNAs, miR-30c-5p and miR-21-5p were upregulated (Figure 3B). The upregulation of miR-30c-5p contributes to TP53 suppression together with miR-30d-5p, miR-25c-3p, miR-151a-5p, miR-612, or miR-1285-3p. BCL2 would be reduced by miR-21-5p upregulation together with miR-34a-5p, miR-34c-5p and miR-449a. The precursor of pancreatic neoplasm would be balanced in pre-tumor state between downregulation of tumor suppressor (oncogenic) and blocking of anti-apoptosis (tumor suppressive). On the contrary, miR-21-3p and miR-499a-5p are downregulated in precursor of pancreatic cancer and pancreatic cancer, respectively [18,20] and the downregulation would increase Ras-related GTP-binding protein B, RRAGB (Figure 3A,B). RRAGB activates mTOR and metabolically increases amino acids-dependent cell proliferation [21,22].

FIGURE 3
Figure 3. METS simulation of pancreatic cancer. After data mining, miRNAs of biomarker panels were selected and METS simulation was performed in pancreatic cancer on minus one stage and cancer stages. (A) Network by METS simulation and protein string clusters was represented in all layers in minus one stage of pancreatic cancer. (B) The core QCR (0–19) with MMP hub in minus one stage of pancreatic cancer. (C) All layers of PDAC. (D) The core QCR (0–39) with MMP hub of PDAC. miRNAs: upregulation—red; downregulation—blue. Proteins: augmentation—red; suppression—blue.

mTOR/PI3K inhibitor, NVP-LED-225 inhibited pancreatic cancer stem cell [23] and everolimus showed anti-tumor effects in Panc-1 human pancreatic cancer cells by inhibition of mTOR activity through its binding [24]. Although it is known whether miR-21-3p has a role in PDAC, it is predicted from our simulation that oncogenicity from minus one stage would be initiated by mTOR activation via miR-21-3p downregulation. While AUC in 3 MMP hub/target prediction was 0.73–0.79 (P < 0.01) for shorter follow up (<5 years) [18], other 4 miRNA panels would affect as tumor suppressor, such as spliceosome inhibition (target of SRSF7), cell cycle suppression (target of CDC25A), and inflammatory response inhibition (target of CEBPB). Accuracy and precision of PDAC prediction from stage minus one were 0.7813 and 0.7742, respectively. It was shown that the core QCR of minus-one stage in PDAC would be 0–19 in Figures 1, 2 and 3B.

PDAC simulation

In the case of PDAC stages in pancreatic cancer, four layers (QCR: 0–20, 21–40, 41–60, 61–80) were integrated into the network processing. Although a miRNA set of the pancreatic cancer stages in the core stage was reduced from a panel of 7 miRNAs to MMP hub of 3 miRNAs, a dominant scheme of protein/protein interaction did not alter between all layers and the core (Figure 3C,D). miR-21-5p upregulation has still inhibited BCL2, CDC25A since minus one stage (Figure 3C) and simultaneously upregulation of miR-17-5p would block CCND1, therefore, cell cycling from G1 to S would be reduced (Figure 3C). On the other hand, miR-155-5p was downregulated and E2F2 would increase. Subsequently, cell cycling would be balanced between down and up, that is shown in minus one stage because pancreatic cancer would be metastatic rather than proliferative by miR-409-3p downregulation [25,26]. miR-409-3p targeted serine-threonine kinase, AKT1 and RDX (Figure 3C,D). Upon downstream of phosphatidylinositol 3-kinase (PI3K), AKT is frequently hyperactivated in human cancer [27]. In Figure 3C,D, downregulation of miR-409-3p increased AKT with downregulation of miR-149-3p. With activation of AKT1 and its downstream of mammalian target of rapamycin, mTOR pathway enhancement is implicated in pancreatic cancer formation [28,29]. PI3K signaling affects KRAS activity in PDAC [30,31] and PI3K/AKT/mTOR has recently been targeted in therapeutic treatment of PDAC [32]. Rapamycin cotreated with cisplatin suppressed the expression of PI3K, AKT and phosphorylated mTOR in pancreatic cancer [33].

Dioscin inhibited pancreatic cancer by upregulation of miR-149-3p via suppression of AKT1 pathway [34]. In the context of human breast cancer cells, miR-409-3p was a tumor suppressor via downregulating of AKT activity [35]. For human gastric cancer, miR-409-3p was downregulated, and miR-409-3p suppressed the expression of the pro-metastatic gene radixin (RDX) [36], which was targeted by miR-409-3p with miR-196a-5p, miR-196b-5p and miR-31-5p in our simulation (Figure 3D). Further, the LncRNA, metastasis-associated lung adenocarcinoma transcript 1 (MALAT-1) expression levels were upregulated in pancreatic cancer tissues [37] and zinc finger homeodomain enhancer binding protein (ZEB1) was also upregulated [38]. PI3K promotes the metastasis of pancreatic cancer by facilitating ZEB1 [39]. High MALAT-1 plus low miR-200c-3p expression in Figure 3C,D would promote tumor metastasis via target ZEB1, on high expression [40]. The data showed that the core QCR of PDAC was 0–39 (Figures 1, 2 and 3D).

Network analysis of PDAC

Although there is no miRNA–mRNA network computing analysis from a big database showing that aetiology of PDAC would be a disorder of AKT/mTOR pathway [41–49], these data strongly support our quantum network simulation by METS in Figure 3 that pancreatic neoplasia would progress from downstream of RRAGB/mTOR via downregulation of miR-21-3p/miR-499a-5p hub to upstream of AKT/RDX/mTOR via downregulation of miR-409-3p/miR-149-3p hub upon PDAC stages, and from low quantum levels (DNS: 30) in oncogenic state to high ones (DNS: 78) in invasion and metastatic state (Figure 3B,D). Total miRNA/PDCA prediction data of PDCA stages by METS showed AUC of 0.91 (P < 0.01). Therefore, PDAC simulation by quantum miRNA language was statistically confirmed (Figure 3C).

Simulation of Colorectal Cancer A definition of stage zero in colorectal cancer

The second leading causes of cancer death is colorectal cancer (CRC) in USA [1]. Approximately over one million new cases in the global area were estimated and over half a million deaths occurred in 2012 by CRC [50]. As described above, this trend has continued in 2017. It means that the mortality of CRC has remained constant even though more screening methods of CRC have been developed, such as colonoscopy, the fecal occult blood test (FOBT), stool DNA test and double contrast barium enema (DCBE) [51]. FOBT, stool DNA test and DCBE have insufficient sensitivity with high false positive and high cost, and then colonoscopy is a semi-noninvasive test with the risk of bowel perforation because about 75% of CRC risk patients are over 60 years old (http://gco.iarc.fr/today/home). Further, computed tomographic (CT) colonography resulted in similar detection rate of advanced adenoma to colonoscopy [52]. CRC is classified into five stages, 0–IV. Stage I of CRC is characterized by submucosal invasion, therefore, the morphological changes and mutations of TP53 are involved in the formation of the advanced adenomas on stage 0. Before that stage, small polyps, whose sizes are less than 6 mm or histologically low dysplasia or less villous components, would be the stage minus one. The CT colonography test effectively identified diminutive polyps [53]. Because the 5-year survival rate depends on the pathological stage of CRC according to the Surveillance, Epidemiology, and End Results (SEER) data (1975–2016) of the National Cancer Institute (NCI) (https://seer.cancer.gov/data/) [54,55], a completely noninvasive screening methods with high sensitivity and specificity would be required for precision medicine of CRC on early stage, minus one stage in precancerous lesions.

Primary extraction of miRNA set and MMP in CRC

Dysregulated miRNAs were identified as stage 0 of CRC in the training cohort. After data mining for METS analysis, seven miRNAs (miR-29a-5p, miR-92a-1-5p, miR-122-5p, miR-192-5p, miR-374a-5p, miR-29c-5p and miR-601) were selected as stage zero biomarker of CRC according to previous studies [56–58] (see Table 1). Seven miRNAs (miR-29b-1-5p, miR-17-3p, miR-92a-1-5p, miR-21-5p, miR-221-5p, miR-96-5p and miR-601) of the CRC stage of biomarkers from serum or plasma were also extracted from meta-analysis by Carter et al. [59] (see Table 1). The common miRNAs in both stages were miR-92a-1-5p and miR-601. The MMPs showed unique quantum energy levels in each stage (Figure 1) and QCRs of both stages were broad from 0 to 100 layers (Figure 2). When the data of stage zero (polyp stage) and post stage zero (CRC stages) on each layer were integrated into the network processing with METS (Figure 4A,C), the core layers were identified in QCR 10–39 of the polyp stage and QCR 20–39 of CRC stages, respectively, and interactions of protein/protein were also illustrated (Figure 4B,D).

Stage zero simulation of colorectal cancer

Although a miRNA set of the polyp stage in the core stage was reduced from a panel of 7 miRNAs to MMP hub of 3 miRNAs, a dominant scheme of protein/protein interaction did not alter between all layers and the core (Figure 4A,B). miR-192-5p plus let-7a-5p, and miR-374a-5p are upregulated and target DICER, and miR-122-5p also suppresses protein activator of interferon induced protein kinase EIF2AK2 (PRKRA) in the polyp stage (Figure 4A,B). PRKRA has similar sequences and structure to TARBP2, and TRBP2 with PACT binds PKR [60]. Both TARBP2 and PRKRA interact with Dicer and these two proteins act as cofactors of Dicer to process pre-miRNA, or could independently function as a processor distinct from Dicer pathway in mouse [61]. About implication between Dicer expression and CRC, single-nucleotide polymorphisms (SNPs) of miRNA processing gene, such as Dicer, statistically displayed a great trend of low Dicer gene expression and it would be genetically associated with CRC risk [62]. Subsequently, the SNP of rs3742330 in the human Dicer gene AA allele exhibited a significant risk of CRC, of which odds ratio is 2.11 and 95% confidence interval is from 1.33 to 3.34 (P = 0.001). Further, Dicer impairment induced the capacity of colorectal cancer initiation [63]. It is suggested that in stage 0, miRNA processing impairment could induce tumorigenesis of colorectal epithelial cells. Although enforced complete deletion of Dicer gene led to inhibition of tumorigenesis, partial loss of Dicer is pro-tumorigenic as described in a mouse model [64,65].

FIGURE 4
Figure 4. METS simulation of colorectal cancer. Data mining was performed from references about colorectal cancer in databases and miRNAs were selected from biomarker panels. METS analysis was done in stage zero (polyps) and CRC stages. (A) Network communications by MET and String were shown in all layers in polyp stage. (B) The core QCR (10–39) with MMP hub in polyp stage. (C) All layers of CRC. (D) The core QCR (20–39) with MMP hub of CRC. miRNAs: upregulation—red; downregulation—blue. Proteins: augmentation—red; suppression—blue.

Processing mechanism of human Dicer and quantum miRNA language usages in human would be different from those of mouse, therefore, species biases could lead to incorrect conclusion and speculation in bench experiments alone. However, simulation by METS could remove the species biases which is computed by human data only. In Figure 4A, miR-192-5p with miR-34a-5p and miR-34c-5p suppressed BCL2 oncogene, and miR-122-5p with miR-630 and miR-203a-3p blocks BCL2L2 oncoprotein ligand gene. It means that early polyps may still be balanced between oncogenesis and tumor suppression. If TP53 has unfunctional mutation by dysregulation of the DNA damage repair via Dicer suppression [66,67], advanced adenoma proliferation may be progressed. Subsequent accuracy and precision of CRC prediction from stage zero (polyps) were 0.6667 and 0.7000, respectively.

CRC simulation

Although a miRNA set of the CRC stages in the core stage was reduced from a panel of 7 miRNAs to MMP hub of 2 miRNAs, a main scheme of protein/protein interaction did not alter between all layers and the core (Figure 4C,D). Core layer of CRC simulation was presented in QCR 20–39 (Figure 4D). In CRC tissues circDDX17 was significantly downregulated [68]. Therefore, upregulation of miR-21-5p by decreasing of circDDX17 suppressed PTEN tumor suppressor with miR-17-5p, miR-214-3p and miR-20a-5p, simultaneously miR-21-5p with 373-3p blocked reversion inducing cysteine rich protein with Kazal motifs (RECK), a tumor suppressor (Figure 4C,D). miR-17-5p was upregulated in CRC higher clinical stages and suppressed PTEN [69]. PTEN and RECK are deeply involved in CRC cell invasion and metastasis, and both proteins are reduced by miR-21-5p [70–72]. Furthermore, the CRC stromal cells also upregulated miR-21-5p and blocked PTEN [73].

Curcumol suppressed proliferation of CRC cells via downregulation of miR-21-5p with enhancing PTEN expression [74]. While miRNAs in exosome from stromal cells or CRC cells are transferred to the environmental cells and modulated tumorigenicity to the incorporated cells in vitro and in vivo [17,75–77], miR-21-5p from CRC stromal cells would also be incorporated into the environmental receivers and would transform the phenotype of cells to be oncogenic. mR-96-5p inhibited KRAS with let-7a-5p, miR-155-5p and miR-200c-3p. miR-21-5p suppressed BCL2 with miR-34a-5p, miR-34c-5p, miR-34b-5p, miR-449a, miR-17-5p, miR-181d-5p and miR-7-5p. Therefore, CRC cells would continue to be anti-tumor (Figure 4B). However, the concordance rate for KRAS, BRAF and PIK3CA gene mutations is presented in over 90% of primary tumors including CRC [78]. Furthermore, lncRNA ZFAS1 and circRNA circHIPK3 were significantly upregulated in CRC and sponged miR-7 [79,80]. Therefore, BCL2 suppression would be strongly modulated by both ZFAS1 and circHIPK3 as shown in Figure 4C,D. Since BCL2 expression was associated with a better prognosis in CRC [81], suppression of oncogenes KRAS and BCL2 would become negligible (Figure 4D), and KRAS and BCL2 may outflank CRC lethality [82].

Network analysis of CRC

In the network analysis of CRC, transcriptional factor and other mRNA targets were identified as hub protein genes of CRC by using the cancer genome atlas (TCGA) database, such as MYC [83–85]. Further, integrated bioinformatic computing identified more CRC hub protein genes [84–88], such as ASPN, FGF2 and CXCR4, and CRC-linked lncRNA [89,90], such as ELFN1-AS1 and HULC. However, any Dicer- and PTEN-based narrative data have no information on CRC incidents. CRC development and metastasis could dominantly be progressing with mutations of oncogene and tumor suppressor gene from stage 0 initiated by Dicer suppression via miR-192-5p and miR-374a-5p MMP hub. And then in stage I–IV, cells would be modulated by aberration of PTEN function via circDDX17 and miR-21-5p hub (Figure 4C,D). Total prediction data of noncoding RNA (ncRNA)/CRC in CRC stages by METS showed an AUC of 0.99 (P < 0.001), therefore, statistically, CRC simulation by quantum miRNA language was significant (Figure 4C).

Simulation of Lung Cancer Smoking and MMP

Lung cancer is classified into two pathological subtypes, non-small cell lung cancer (NSCLC) and small cell lung cancer (SCLC). The NSCLC accounts for over 80% of lung cancer as described in National Comprehensive Cancer Network (NCCN) guideline (http://nccn.org/professionals/physician_gls/default.aspx). Risk factors are tobacco smoking, contact with radon, asbestos and other cancer-causing agents, family heredity of lung cancer, and pulmonary fibrosis. 5-year survival rate of lung cancer is only 5% in USA according to NCI (https://seer.cancer.gov/data/). Early diagnosis and prediction for NSCLC is a pressing issue. The National Institute of Health (NIH) defines a biomarker “a characteristic that is objectively measured and evaluated as an indicator of normal biological processes, pathogenic processes, or pharmacologic responses to a therapeutic intervention” [91]. Therefore, integrative computing analysis of the miRNA/mRNA network is absolutely required for miRNA biomarker panels for cancer diagnosis and prognosis because miRNA annotation is an arbitrary number.

At the same time, test for blood biomarker of lung cancer needs higher specificity and sensitivity [92]. For example, autoantibodies panels performed with 93% specificity but 40% low sensitivity. Complement fragment C4d was 89% specificity but 44% low sensitivity. The circulating tumor DNA (ctDNA) was 99% sensitivity but 59% low sensitivity for lung cancer. About miRNA biomarkers for lung cancer, the miRNA signature classifier (MSC) [93] and the miR-Test [94] resulted 81% specificity 87% sensitivity, and 75% specificity 78% sensitivity, respectively. The two panel tests are undergoing prospective validation with screening trials by 16,000 high risk subjects. Further, miRNA panels corresponding to MMP has been evaluated as biological, pathological and pharmacological processes in most of all human diseases by computer simulation with quantum miRNA language [17,19]. But ctDNA cannot be used because ctDNA could not distinguish among each disease, such as pulmonary diseases, liver diseases and colorectal diseases at once. The low-dose computed tomography (LDCT) reduced lung cancer mortality in screening of high-risk individuals compared with annual chest radiography [95]. However, in general, CT and Magnetic Resonance Imaging (MRI) imaging have some problems, such as high cost, X-ray exposure, high rates of false-positive for noninvasive disease screening and human errors. Combination of both the miRNA panel and LDCT resulted a five-fold reduction of LDCT false-positive rate to 3.7% [93].

Thus, miRNA diagnosis biomarker would be the first choice of noninvasive screening tool for lung cancer. Here, at least we could show different pathological and etiological processes between smoking and lung cancer with MMP hub from miRNA biomarker panels (Figure 5). It is suggested that MMP hub from miRNA panel biomarker could be useful and smart for lung cancer prediction and diagnosis, further maybe for prognosis and therapy as all in one strategy as described previously in fundamental research of MIRAI [17].

FIGURE 5
Figure 5. METS simulation of lung cancer. Data mining, and then miRNAs were selected from miRNAs biomarker panels of smoking as minus one stage and NSCLC stage I–II. Quantum data was extracted from selected miRNAs and METS analysis was performed. (A) Network was represented in the core QCR (0–20 and 41–90) with MMP hub of smoking. (B) All layers of NSCLC stage I–II. (C) The core QCR (31–40) with MMP hub of NSCLC stage I–II. miRNAs: upregulation—red; downregulation—blue. Proteins: augmentation—red; suppression—blue.
Primary data extraction of lung cancer

Given NCCN clinical guideline for lung cancer listed smoking as a primary risk factor, we defined smoking as stage minus one of NSCLC. Since tobacco smoking is also listed a risk factor of CRC in NCCN Guidelines for Smoking Cessation, it would also be the stage minus one of CRC (See Figure 1). Data mining was performed for METS analysis by quantum miRNA language and then eight miRNAs (miR-124-5p, miR-154-5p, miR-129-2-3p, miR-196a-3p, miR-1180-5p, miR-181a-2-3p, miR-423-5p and miR-25-5p) were selected as biomarkers of cigarette smoking on stage minus one of lung cancer (Table 1) [96–98]. Lung cancer stage specific miRNAs have been shown in Table 2.

According to the panels, eight stage I–II specific miRNAs (miR-324-3p, miR-1285-5p, miR-21-5p, miR-126-5p, let-7a-5p, miR-145-5p, miR-20a-5p and miR-223-5p) were selected as NSCLC biomarkers for METS analysis (Table 2) [99,100]. After quantum data were extracted from the panel miRNA data, the MMPs showed unique quantum energy levels in stage minus one (smoking) and stage I–II of NSCLC (Figure 1), and QCR spectrum of smoking was from 0 to 90 of layers, and that of stage I–II in NSCLC was from 0 to 60 (Figure 2). Therefore, the core QRC spectrum of smoking was also broad in 0–20 and 41–90 but that of stage I–II is quite narrow in 31–40 (Figure 2). In smoking, miR-129-2-3p and miR-196a-3p targeted SOX4 and MYL12A, respectively. But protein/protein interaction by these two miRNAs was not significantly computed in the network simulation of all layers, therefore, all layer data of smoking showed quite similar results as described below in QCR 0–20 and 41–90 (data not shown).

Smoking simulation

Smoking miRNAs in QCR 0–20 and 41–90 were dominantly implicated in two processes, DNA repair and oncogenesis (Figure 5A).

The results as 6 miRNA MMP hub of smoking were obtained in Figure 5A (See Table 1 as well). Downregulation of miR-25-5p increased RUVBL1 with miR-138-5p (Figure 5A). RUVBL1 and RUVBL2 complex included into Pontin and Reptin complex were shown to be essential for tumorigenicity and their expression was upregulated in several cancers including lung cancer [101,102]. Upregulation of miR-124-5p represses NABP1 with miR-4465 (Figure 5A). Complex of NABP1 and NABP2 as SOSS complex promotes DNA repair on G2/M checkpoint [103]. Although carcinogens from smoking, such as nitrosamine and 4-(methylnitrosamino)-1-(3-pyridyl)-1-butanone (NNK) induces lung adenoma and carcinoma by DNA damage [104–106], in experiments using male F344 rat (species biased), the circulating and the tissue miRNA profile were significantly altered in NNK-treated group compared with control group [107,108]. Our simulation by METS also showed in human that smoking would suppress DNA repair by miR-124-5p upregulation and initiate carcinogenesis by miR-25-5p downregulation in the lung.

TABLE 2
Table 2. Stage specific miRNAs in non-small cell lung cancer.

miR-154-5p low expression with miR-200c-3p would promote tumor via target transcriptional factor, zinc finger E-box binding homeobox 2 (ZEB2) on high expression (Figure 5A). This simulation result is well supported by ZEB2 oncogenic character that the expression level of ZEB1 and ZEB2 was correlated with NSCLC [109,110] and miR-154-5p regulated epithelial-mesenchymal transition (EMT) in NSCLC [111]. miR-25-5p targets miR-1199-5p transcripts, and then miR-1199-5p targets ZEB2 (Figure 5A). Diepenbruck and Christofori [112] showed that forced expression of miR-1199-5p in human untransformed cells was sufficient to block EMT and was embedded in a reciprocal regulation with ZEB1 and ZEB2 expression. However, they did not find any binding site of miR-1199-5p in the 3′-untranslated region (UTR) of ZEB2 in mouse (species biased) [113]. But in our TargetScan Human 7.2 analysis, ZEB2 in human has miR-1199-5p target site in the position 2972–2979 of ZEB2 3′-UTR by stronger context ++ score (−0.07) than in the position 28–34 ZEB1 3′-UTR (context ++ score; −0.03). Therefore, tumorigenic ZEB2 would be flexibly controlled by the Troika system (miR-145-5p, miR-25-5p and miR-1199-5p) under smoking. These data suggested that the computer network simulation with quantum miRNA data is absolutely necessary for cutting-edged human lung cancer research in the precision medicine initiative, because rodent experiments of tumorigenesis by a carcinogen contained species biases of different usage in quantum miRNA language among species [9], on the other hand, human clinical miRNA big data related lung cancer was preciously applied for METS in silico simulation.

High expression of high mobility group A2 (HMGA2) was implicated in transformation of lung cells, and inhibition of HMGA2 repressed the transformed phenotype of NSCLC in human cultured lung cells [114]. miR-154-5p with let-7-5p family target HMGA2 (Figure 5A). miR-154-5p suppressed NSCLC growth in vitro and in vivo [115], and from meta-analysis, let-7 low expression indicated a poor prognosis and HMGA2 expression was high in NSCLC patients [116]. It shows that HMGA2 upregulation by smoking is oncogenic for lung cells, and downregulation of miR-154-5p and let-7-5p family would initiate transformation of normal cells in the lung during long term smoking by quantum miRNA information summed up.

Further, Toll-like receptor 2 (TLR2) expression was significantly higher in idiopathic pulmonary fibrosis (IPF) compared to healthy individuals, and NSCLC [117], and IPF are pathogenically linked to cancer [118]. miR-154-5p downregulation augments the TLR2 expression with miR-146a-5p (Figure 5A). TLR2 are primarily expressed on the cell surface of monocytes and epithelial cells, and TLR2 is involved in inflammatory responses in mouse lung [119]. Excessive immune reaction by TLR2 high expression may induce uncontrolled pulmonary cell proliferation likely observed in IPF and would corroborate oncogenic processes of ZEB2 and HMGA2. The aggressive proliferation with suppressed DNA repair would also induce mutation of 3′ UTR in KRAS [120], which was targeted by let-7-5p family in Stage I–II of NSCLC (Figure 5B). Accuracy and precision of NSCLC prediction from stage zero smoking were 0.8333 and 0.8649, respectively.

Stage I–II simulation of NSCLC and network analysis

In the case of stage I–II of NSCLC, total layers data was integrated in Figure 5B. And then the data of core layer QCR 31–40 was re-extracted from that of all layers (Figure 5C). In all layer integration, miR-1285-5p and miR-126-5p targeted SCP2 and SNRPN, respectively, with high score. However, protein/protein interaction was not clearly observed in the network diagram (data not shown). Although a miRNA set of the stage I–II in the core stage of NSCLC was reduced from a panel of 6 miRNAs to MMP hub of 2 miRNAs, a cluster of PFDN5 (prefoldin subunit 5)/VBP1 (Von Hippel-Lindau binding protein; prefoldin subunit 3) interaction was removed from all layers of NSCLC to be built up in the core QCR (Figure 5B,C). Human PFDN has two subunits, PFDN5 and 3 makes α subunit of PFDN, and VBP1 (PFDN3) suppresses EMT of tumor cells [121]. However, PFDN1, a part of β subunit, increased metastatic growth of lung cancer [122]. Therefore, the implication between two subunits for tumor metastasis remained unclear.

Downregulation of let-7-5p family enhances expression of HMGA2 (Figure 5C), which is similar in the stage zero of smoking. Although Lin28B upregulation by downregulation of let-7-5p family was simulated in Figure 5B, Lin28B could further repress let-7-5p family expression via human ubiquitin ligase TRIM71 [123]. On the other hand, super-downregulation of let-7-5p would increase TRIM71 (Figure 5C) and TRIM71 overexpression opposed Lin28B-inducing transformation [124]. Since downregulation of miR-203a-3p and let-7-5p family would increase TRIM71 (Figure 5C), Lin28B could be suppressed by TRIM71. The above data showed that in pancreatic, colorectal and lung cancers, tumorigenic and tumor suppressive states are simultaneously presented in the balance. It is unknown whether these conditions are in one cell or cancer cells, or including environmental cells from this simulation by circulating miRNA biomarkers; however, it is certain that this event occurs in many cancer individuals at the same time. Thus, augmentation of tumor suppressive miRNA hub would be effective to reduce cancer-related death, and repression of tumorigenic miRNA hub could be a big tool of anti-cancer challenge. Given the therapeutic gadget of mixed miRNA hub has anti-oncogenic and tumor suppressive effects, cancer may be controlled more effectively than single miRNA function agent.

The KRAS 3′-UTR mutants increased risk of various cancers and changed target sensitivity score of let-7-5p via a complementary binding site (LCS6) [125]. However, the LCS6 variant appears not to be associated with prognosis of NSCLC, and there is marked lung cancer risk attributed to the LCS6 polymorphism [126]. Although CDC25A was overexpressed in NSCLC, this was true in 40% of tumor cells [127]. Furthermore, as described in colorectal cancer, KRAS, BCL2 and CDC25A may also outflank etiology of NSCLC. Finally, stage I–II of NSCLC would still be balanced among oncogenesis and tumor suppression via let-7-5p family/Lin28/HMGA2/TRIM71 (Figure 5C).

Thus, these data suggested that DNA repair on minus one stage would be suppressed with smoking by NABP1 via miR-124-5p upregulation. Oncogenesis would be enhanced by increasing expression of HMGA2/ZEB2/TLR2 via downregulation of miR-154-5p plus let-7-5p family with miR-200c-3p or miR-446a-5p. NSCLC on stage I–II still would be balanced among oncogenic and tumor suppressive state through Lin28/HMGA2/TRIM71 via super-downregulation of let-7-5p family hub (Figure 5). Since total ncRNA/NSCLC prediction data of NSCLC stage I–II stages by METS showed an AUC of 0.98 (P < 0.001), NSCLC stage I–II simulation by quantum miRNA language was statistically significant (Figure 5B). In the integrated analysis of NSCLC, DNA replication and cell cycle pathways have been detected [128,129], and the WNT and the MAPK signaling pathways were implicated in lung cancer [130]; however, no let-7-5p family hub has been reported on the stage I–II of NSCLC in silico [131–133] even though lncRNA interactions were integrated [130,134].

CONCLUSIONS

It has been shown that profile of the miRNA gene expression would be altered by environmental factors such as chemicals, antibodies, nutrients, miRNAs and energies such as temperature, X-ray, UV and stresses, etc. We have previously simulated in vivo pharmaceutic events of medical agents with quantum language of miRNA by METS computation through deep layer learning [19]. Here, we showed that algorithm of the quantum miRNA language based on that of the quantum computing qubit could be time-dependently developed in cancer prediction from minus one stage of cancers. Further, MMP hub was extracted by the algorithm upon cancers from miRNA biomarker panel. The quantum computing algorithm can see the past and the future in time. Although the concept of algorithm in AI is quite similar to that of the quantum computing algorithm, the extraction process of miRNA hub is seemed to be analogous to our memory formation and creative intention, which would be processed from MMP [17]. According to quantum energy levels (layers, here) of MMP, the stage and cancer type of individuals were distinguished by coherence under the MMP hub of the core QCR layer, and then miRNA/target interaction would be presented as the network. The AUC of the integrated miRNA/target in each cancer prediction was high, however, accuracy and precision rates were not so high in cancer predictions from minus one stage by multivariable processing with deep learning (Table 3). For precision prediction of cancer from stage minus one, much more daily and personalized data would be required for the deep learning on multivariable processing.

TABLE 3
Table 3. Cancer prediction from stage minus one (zero).

In summary, we found three pathogenic processes in the network: (1) with respect to pancreatic cancer, augmentation of RRAGB/mTOR via downregulation of miR-21-3p/miR-499a-5p on the stage minus one and then upstream of AKT/RDX/mTOR enhancement via downregulation of miR-409-3p/miR-149-3p on cancer stages, (2) DICER suppression via upregulation of miR-192-5p and miR-374a-5p on the stage zero of colorectal cancer and then on the stage I–IV cancer, aberration of PTEN function via downregulation of circDDX17 and upregulation of miR-21-5p, (3) suppression of DNA repair by decreasing NABP1 expression via miR-124-5p upregulation and oncogenesis by increasing HMGA2/ZEB2/TLR2 via downregulation of miR-154-5p plus let-7-5p family or miR-200c-3p or miR-446a-5p on stage minus one (smoking) of lung cancer and then on the stage I–II, balanced oncogenic plus tumor suppressive state through Lin28/HMGA2/TRIM71 upregulation via super-downregulation of let-7-5p family. The proof of concept was shown completely in computer simulations with quantum miRNA language for PDCA, CRC and NSCLC predictions. Although a biomarker has been defined by the NIH, a character of miRNA could be objectively measured and evaluated in a quantum as an indicator of biological processes, or pathogenic processes.

We have recently reported that Alzheimer’s disease and human breast cancer would be implicated in quantum miRNA language of MMP, and the pharmacokinetic drug response against breast cancer was involved in quantum miRNA energy levels [19]. Therefore, it is strongly supported that miRNA would be characterized by the previous simulation as a biomarker in the pharmacokinetic responses. The NIH definition for a biomarker also suggests that miRNA would be a biomarker not only for cancer but also for daily health management because natural substances, foods, drugs, supplements and environmental conditions could affect miRNA biomarker profiles. Minus one stage diagnosis of cancer by miRNA would be essential for cancer lethality to decrease in mass population. In the next developmental step, smart miRNA detection tool by perspiration would also be necessary for complete noninvasive biomarker to further challenge reduction of cancer-related death. In addition, contextual simulation by METS with quantum multi-layer integration would be required for precision medication to be developed for miRNA-based drugs derived from plants [135], which has been described previously [17]. In near future, combinational optimization of human MMP hub miRNAs for cancer would need the algorithm MIRAI to advance therapeutic application of miRNA-based agents using a quantum processor. Thus, the quantum miRNA language might be useful for us to understand biomarker panels for cancers and to predict cancers upon minus on stage. Simultaneously, it would be essential for verification of the hub miRNAs in cancers by experiments and clinical trials.

CONFLICTS OF INTEREST

The author declares that there is no conflicts of interest.

REFERENCES

1.

2.

3.

4.

5.

6.

7.

8.

9.

10.

11.

12.

13.

14.

15.

16.

17.

18.

19.

20.

21.

22.

23.

24.

25.

26.

27.

28.

29.

30.

31.

32.

33.

34.

35.

36.

37.

38.

39.

40.

41.

42.

43.

44.

45.

46.

47.

48.

49.

50.

51.

52.

53.

54.

55.

56.

57.

58.

59.

60.

61.

62.

63.

64.

65.

66.

67.

68.

69.

70.

71.

72.

73.

74.

75.

76.

77.

78.

79.

80.

81.

82.

83.

84.

85.

86.

87.

88.

89.

90.

91.

92.

93.

94.

95.

96.

97.

98.

99.

100.

101.

102.

103.

104.

105.

106.

107.

108.

109.

110.

111.

112.

113.

114.

115.

116.

117.

118.

119.

120.

121.

122.

123.

124.

125.

126.

127.

128.

129.

130.

131.

132.

133.

134.

135.

How to Cite This Article

Fujii YR. Cancer Simulation from Stage Minus One by Quantum microRNA Language: Lung, Colorectal and Pancreatic Cancers. Med One. 2019;4:e190023. https://doi.org/10.20900/mo.20190023

Copyright © 2020 Hapres Co., Ltd. Privacy Policy | Terms and Conditions